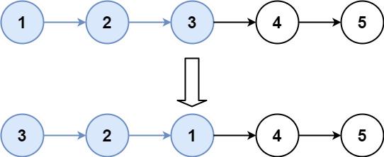
203.移除链表元素
https://leetcode.cn/problems/remove-linked-list-elements/
简单
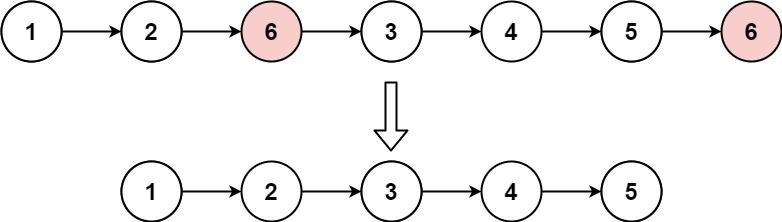
给你一个链表的头节点 head 和一个整数 val ,请你删除链表中所有满足 Node.val == val 的节点,并返回 新的头节点 。
示例 1:

**输入:**head = [1,2,6,3,4,5,6], val = 6 输出:[1,2,3,4,5]
示例 2:
**输入:**head = [], val = 1 输出:[]
示例 3:
**输入:**head = [7,7,7,7], val = 7 输出:[]
提示:
列表中的节点数目在范围
[0, 10(4)]内1 <= Node.val <= 500 <= val <= 50
/**
* Definition for singly-linked list.
* struct ListNode {
* int val;
* ListNode *next;
* ListNode() : val(0), next(nullptr) {}
* ListNode(int x) : val(x), next(nullptr) {}
* ListNode(int x, ListNode *next) : val(x), next(next) {}
* };
*/
class Solution {
public:
ListNode* removeElements(ListNode* head, int val) {
ListNode* dummyHead = new ListNode;
dummyHead->next = head;
ListNode* cur = head;
ListNode* pre = dummyHead;
while (cur) {
if (cur->val == val) {
ListNode* tmp = cur;
pre->next = cur->next;
cur = cur->next;
delete tmp;
} else {
pre = cur;
cur = cur->next;
}
}
return dummyHead->next;
}
};极简模板
dummy = new ListNode(0,head); cur=dummy;
while(cur->next){
if(cur->next->val==val){
temp=cur->next; cur->next=temp->next; delete temp;
}else cur=cur->next;
}
head=dummy->next; delete dummy; return head;边界测试用例
1. 空链表:head=nullptr,任意val → 返回nullptr
2. 头节点为目标值:head=[1,2,3],val=1 → [2,3]
3. 尾节点为目标值:head=[1,2,3],val=3 → [1,2]
4. 全节点是目标值:head=[2,2,2],val=2 → nullptr
5. 中间节点为目标值:head=[1,2,3,2],val=2 → [1,3]
6. 单节点是目标值:head=[5],val=5 → nullptr
7. 单节点非目标值:head=[5],val=3 → [5]
8. 间隔目标值:head=[1,6,2,6,3],val=6 → [1,2,3]
1. 虚拟头节点:规避头节点删除的特殊处理
2. 内存释放:C++手动delete,避免内存泄漏
3. 遍历逻辑:判断cur->next,防止空指针访问
707.设计链表
https://leetcode.cn/problems/design-linked-list/
中等
你可以选择使用单链表或者双链表,设计并实现自己的链表。
单链表中的节点应该具备两个属性:val 和 next 。val 是当前节点的值,next 是指向下一个节点的指针/引用。
如果是双向链表,则还需要属性 prev 以指示链表中的上一个节点。假设链表中的所有节点下标从 0 开始。
实现 MyLinkedList 类:
MyLinkedList()初始化MyLinkedList对象。int get(int index)获取链表中下标为index的节点的值。如果下标无效,则返回-1。void addAtHead(int val)将一个值为val的节点插入到链表中第一个元素之前。在插入完成后,新节点会成为链表的第一个节点。void addAtTail(int val)将一个值为val的节点追加到链表中作为链表的最后一个元素。void addAtIndex(int index, int val)将一个值为val的节点插入到链表中下标为index的节点之前。如果index等于链表的长度,那么该节点会被追加到链表的末尾。如果index比长度更大,该节点将 不会插入 到链表中。void deleteAtIndex(int index)如果下标有效,则删除链表中下标为index的节点。
示例:
输入 ["MyLinkedList", "addAtHead", "addAtTail", "addAtIndex", "get", "deleteAtIndex", "get"] [[], [1], [3], [1, 2], [1], [1], [1]] 输出 [null, null, null, null, 2, null, 3]
解释 MyLinkedList myLinkedList = new MyLinkedList(); myLinkedList.addAtHead(1); myLinkedList.addAtTail(3); myLinkedList.addAtIndex(1, 2); // 链表变为 1->2->3 myLinkedList.get(1); // 返回 2 myLinkedList.deleteAtIndex(1); // 现在,链表变为 1->3 myLinkedList.get(1); // 返回 3
提示:
0 <= index, val <= 1000请不要使用内置的 LinkedList 库。
调用
get、addAtHead、addAtTail、addAtIndex和deleteAtIndex的次数不超过2000。
【初始化】
1. 建虚拟头节点dummy,指向null
2. 定义size=0,记录节点数
【get(index) 取值】
1. 先判越界:index<0/≥size → 直接返-1
2. cur指向dummy.next(真实头)
3. index次循环,cur=cur.next
4. 返cur.val
【addAtHead(val) 头插】
1. 新建节点newNode,值为val
2. newNode.next = dummy.next
3. dummy.next = newNode
4. size++
【addAtTail(val) 尾插】
1. cur指向dummy
2. 循环:cur.next不为空 → cur=cur.next
3. cur.next = 新建节点(值val)
4. size++
【addAtIndex(index,val) 插入】
1. 判index>size → 直接返回不操作
2. 若index<0 → 强制置index=0
3. cur指向dummy
4. index次循环,cur=cur.next
5. 新建newNode,值为val
6. newNode.next = cur.next
7. cur.next = newNode
8. size++
【deleteAtIndex(index) 删除】
1. 先判越界:index<0/≥size → 直接返回
2. cur指向dummy
3. index次循环,cur=cur.next
4. temp暂存cur.next(待删节点)
5. cur.next = temp.next
6. delete temp释放内存
7. size--
【通用必记3条】
1. 所有操作先判index越界,再执行
2. 增/删操作后,必须更新size
3. C++删除节点要手动delete,防泄漏
class MyListNode {
public:
MyListNode() : val(0), next(nullptr) {}
MyListNode(int x) : val(x), next(nullptr) {}
MyListNode(int x, MyListNode* nextNode) : val(x), next(nextNode) {}
int val;
MyListNode* next;
};
class MyLinkedList {
public:
MyLinkedList() :size_(0), dummyHead_(new MyListNode) {
}
~MyLinkedList() {
delete dummyHead_;
}
int get(int index) {
if (!(index >= 0 && index < size_)) {
return -1;
}
MyListNode* pre = dummyHead_;
for (int i = 0; i < index; ++i) {
pre = pre->next;
}
return pre->next->val;
}
void addAtHead(int val) {
MyListNode* node = new MyListNode(val);
node->next = dummyHead_->next;
dummyHead_->next = node;
++size_;
}
void addAtTail(int val) {
MyListNode* node = new MyListNode(val);
MyListNode* pre = dummyHead_;
while (pre->next) {
pre = pre->next;
}
pre->next = node;
++size_;
}
void addAtIndex(int index, int val) {
if (index > size_) {
return;
}
MyListNode* node = new MyListNode(val);
MyListNode* pre = dummyHead_;
for (int i = 0; i < index; ++i) {
pre = pre->next;
}
node->next = pre->next;
pre->next = node;
++size_;
}
void deleteAtIndex(int index) {
if (!(index >= 0 && index < size_)) {
return;
}
MyListNode* pre = dummyHead_;
for (int i = 0; i < index; ++i) {
pre = pre->next;
}
MyListNode* tmp = pre->next;
pre->next = tmp->next;
delete tmp;
--size_;
}
private:
MyListNode* dummyHead_;
int size_;
};
/**
* Your MyLinkedList object will be instantiated and called as such:
* MyLinkedList* obj = new MyLinkedList();
* int param_1 = obj->get(index);
* obj->addAtHead(val);
* obj->addAtTail(val);
* obj->addAtIndex(index,val);
* obj->deleteAtIndex(index);
*/206. 反转链表
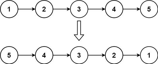
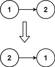
给你单链表的头节点 head ,请你反转链表,并返回反转后的链表。
示例 1:

**输入:**head = [1,2,3,4,5] 输出:[5,4,3,2,1]
示例 2:

**输入:**head = [1,2] 输出:[2,1]
示例 3:
**输入:**head = [] 输出:[]
提示:
链表中节点的数目范围是
[0, 5000]-5000 <= Node.val <= 5000
**进阶:**链表可以选用迭代或递归方式完成反转。你能否用两种方法解决这道题?
- 迭代
1. pre = nullptr (前面一开始是空)
2. cur = head (cur 从头开始走)
3. tmp = cur->next 先保住下一个节点
4. cur->next = pre 反转指向
5. pre = cur 、 cur = tmp 一起往前走
6. 最后 pre 就是新头
/**
* Definition for singly-linked list.
* struct ListNode {
* int val;
* ListNode *next;
* ListNode() : val(0), next(nullptr) {}
* ListNode(int x) : val(x), next(nullptr) {}
* ListNode(int x, ListNode *next) : val(x), next(next) {}
* };
*/
class Solution {
public:
ListNode* reverseList(ListNode* head) {
ListNode* pre = nullptr;
ListNode* cur = head;
while (cur) {
ListNode* nxt = cur->next;
cur->next = pre;
pre = cur;
cur = nxt;
}
return pre;
}
};- 递归
class Solution {
public:
ListNode* reverseList(ListNode* head) {
// 没有节点或者只有一个节点
if (head == nullptr || head->next == nullptr) {
return head;
}
// 递归至最后一个节点
// 移动head至最后一个节点
ListNode* new_head = reverseList(head->next);
// 递归逻辑
// 让右侧节点指向自己
head->next->next = head;
head->next = nullptr;
return new_head;
}
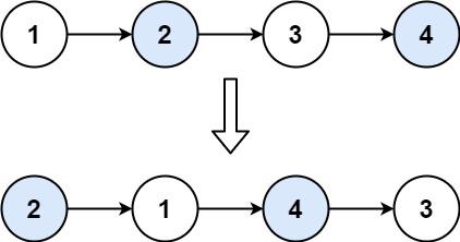
};25. K 个一组翻转链表
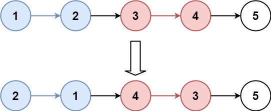
给你链表的头节点 head ,每 k* *个节点一组进行翻转,请你返回修改后的链表。
k 是一个正整数,它的值小于或等于链表的长度。如果节点总数不是 k* *的整数倍,那么请将最后剩余的节点保持原有顺序。
你不能只是单纯的改变节点内部的值,而是需要实际进行节点交换。
示例 1:

**输入:**head = [1,2,3,4,5], k = 2 输出:[2,1,4,3,5]
示例 2:

**输入:**head = [1,2,3,4,5], k = 3 输出:[3,2,1,4,5]
提示:
链表中的节点数目为
n1 <= k <= n <= 50000 <= Node.val <= 1000
**进阶:**你可以设计一个只用 O(1) 额外内存空间的算法解决此问题吗?
题解
一组反转结束后:
pre指向这一组的头节点
cur指向下一组的头节点。
上一组的尾节点指向这一组的尾节点
/**
* Definition for singly-linked list.
* struct ListNode {
* int val;
* ListNode *next;
* ListNode() : val(0), next(nullptr) {}
* ListNode(int x) : val(x), next(nullptr) {}
* ListNode(int x, ListNode *next) : val(x), next(next) {}
* };
*/
class Solution {
public:
ListNode* reverseKGroup(ListNode* head, int k) {
ListNode* dummy = new ListNode(0, head);
ListNode* pre = nullptr;
ListNode* cur = head;
ListNode* p0 = dummy;
// 计算链表节点个数
int n = 0;
for (ListNode* p = head; p != nullptr; p = p->next) {
++n;
}
for (; n >= k; n -= k) {
for (int i = 0; i < k; ++i) {
ListNode* tmp = cur->next;
// "链式"
cur->next = pre;
pre = cur;
cur = tmp;
}
ListNode* tmp = p0->next;
p0->next->next = cur;
p0->next = pre;
p0 = tmp;
}
return dummy->next;
}
};24. 两两交换链表中的节点
给你一个链表,两两交换其中相邻的节点,并返回交换后链表的头节点。你必须在不修改节点内部的值的情况下完成本题(即,只能进行节点交换)。
示例 1:

**输入:**head = [1,2,3,4] 输出:[2,1,4,3]
示例 2:
**输入:**head = [] 输出:[]
示例 3:
**输入:**head = [1] 输出:[1]
提示:
链表中节点的数目在范围
[0, 100]内0 <= Node.val <= 100
1. 建dummy,p=dummy(每组前驱锚点)
2. 循环条件:p->next和p->next->next都不为空(保证有两个节点可换)
3. 标记a=p->next(组第一个节点)、b=a->next(组第二个节点)
4. 三步交换:p->next=b → a->next=b->next → b->next=a
5. p后移到a(当前组尾,下一组前驱)
6. 释放dummy,return dummy->next
class Solution {
public:
ListNode* swapPairs(ListNode* head) {
ListNode*dummy = new ListNode(0, head);
ListNode*p = dummy;
// 保证有两个节点可交换
while(p->next && p->next->next){
ListNode*a = p->next;
ListNode*b = a->next;
// 三步交换,无冗余
p->next = b;
a->next = b->next;
b->next = a;
// 指针后移,处理下一组
p = a;
}
ListNode*res = dummy->next;
delete dummy;
return res;
}
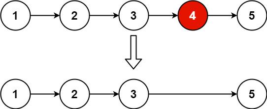
};19. 删除链表的倒数第 N 个结点
给你一个链表,删除链表的倒数第 n* *个结点,并且返回链表的头结点。
示例 1:

**输入:**head = [1,2,3,4,5], n = 2 输出:[1,2,3,5]
示例 2:
**输入:**head = [1], n = 1 输出:[]
示例 3:
**输入:**head = [1,2], n = 1 输出:[1]
提示:
链表中结点的数目为
sz1 <= sz <= 300 <= Node.val <= 1001 <= n <= sz
**进阶:**你能尝试使用一趟扫描实现吗?
/**
* Definition for singly-linked list.
* struct ListNode {
* int val;
* ListNode *next;
* ListNode() : val(0), next(nullptr) {}
* ListNode(int x) : val(x), next(nullptr) {}
* ListNode(int x, ListNode *next) : val(x), next(next) {}
* };
*/
class Solution {
public:
ListNode* removeNthFromEnd(ListNode* head, int n) {
ListNode* dummy = new ListNode(0, head);
ListNode* fast = dummy;
ListNode* slow = dummy;
for (int i = 0; i < n; ++i) {
fast = fast->next;
}
while (fast->next) {
fast = fast->next;
slow = slow->next;
}
ListNode* tmp = slow->next;
slow->next = slow->next->next;
delete tmp;
return dummy->next;
}
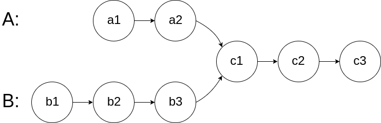
};160. 相交链表
https://leetcode.cn/problems/intersection-of-two-linked-lists-lcci/
给你两个单链表的头节点 headA 和 headB ,请你找出并返回两个单链表相交的起始节点。如果两个链表没有交点,返回 null 。
图示两个链表在节点 c1 开始相交**:**

题目数据 保证 整个链式结构中不存在环。
注意,函数返回结果后,链表必须 保持其原始结构 。
示例 1:

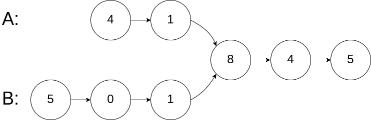
**输入:**intersectVal = 8, listA = [4,1,8,4,5], listB = [5,0,1,8,4,5], skipA = 2, skipB = 3 **输出:**Intersected at '8' **解释:**相交节点的值为 8 (注意,如果两个链表相交则不能为 0)。 从各自的表头开始算起,链表 A 为 [4,1,8,4,5],链表 B 为 [5,0,1,8,4,5]。 在 A 中,相交节点前有 2 个节点;在 B 中,相交节点前有 3 个节点。
示例 2:

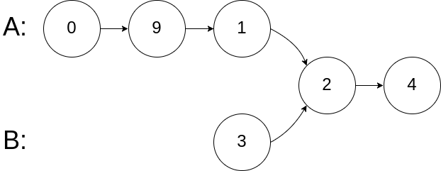
**输入:**intersectVal = 2, listA = [0,9,1,2,4], listB = [3,2,4], skipA = 3, skipB = 1 **输出:**Intersected at '2' **解释:**相交节点的值为 2 (注意,如果两个链表相交则不能为 0)。 从各自的表头开始算起,链表 A 为 [0,9,1,2,4],链表 B 为 [3,2,4]。 在 A 中,相交节点前有 3 个节点;在 B 中,相交节点前有 1 个节点。
示例 3:

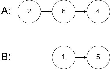
**输入:**intersectVal = 0, listA = [2,6,4], listB = [1,5], skipA = 3, skipB = 2 **输出:**null **解释:**从各自的表头开始算起,链表 A 为 [2,6,4],链表 B 为 [1,5]。 由于这两个链表不相交,所以 intersectVal 必须为 0,而 skipA 和 skipB 可以是任意值。 这两个链表不相交,因此返回 null 。
提示:
listA中节点数目为mlistB中节点数目为n0 <= m, n <= 3 * 10(4)1 <= Node.val <= 10(5)0 <= skipA <= m0 <= skipB <= n如果
listA和listB没有交点,intersectVal为0如果
listA和listB有交点,intersectVal == listA[skipA + 1] == listB[skipB + 1]
**进阶:**你能否设计一个时间复杂度 O(n) 、仅用 O(1) 内存的解决方案?
【双指针核心步骤】
1. 定义 pA=headA 、 pB=headB ,两个指针同时出发
2. 循环条件: pA != pB (相遇则终止)
3. 指针后移规则:走到尾就跳另一链表头,否则正常走
pA为空 → pA=headB,否则pA=pA->next
pB为空 → pB=headA,否则pB=pB->next
4. 循环结束,直接返回pA(或pB,相遇点/空指针二选一)
/**
* Definition for singly-linked list.
* struct ListNode {
* int val;
* ListNode *next;
* ListNode(int x) : val(x), next(NULL) {}
* };
*/
class Solution {
public:
ListNode *getIntersectionNode(ListNode *headA, ListNode *headB) {
if (!headA || !headB) {
return nullptr;
}
ListNode* pa = headA;
ListNode* pb = headB;
// 原理:走过相同的路程
// pa和pb同为nullptr
// pa和pb指向相交节点
while (pa != pb) {
pa = pa ? pa->next : headB;
pb = pb ? pb->next : headA;
}
return pa;
}
};142. 环形链表 II
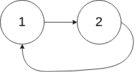
给定一个链表的头节点 head ,返回链表开始入环的第一个节点。 如果链表无环,则返回 null。
如果链表中有某个节点,可以通过连续跟踪 next 指针再次到达,则链表中存在环。 为了表示给定链表中的环,评测系统内部使用整数 pos 来表示链表尾连接到链表中的位置(索引从 0 开始)。如果 pos 是 -1,则在该链表中没有环。注意:pos 不作为参数进行传递,仅仅是为了标识链表的实际情况。
**不允许修改 **链表。
示例 1:

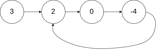
**输入:**head = [3,2,0,-4], pos = 1 **输出:**返回索引为 1 的链表节点 **解释:**链表中有一个环,其尾部连接到第二个节点。
示例 2:

**输入:**head = [1,2], pos = 0 **输出:**返回索引为 0 的链表节点 **解释:**链表中有一个环,其尾部连接到第一个节点。
示例 3:

**输入:**head = [1], pos = -1 **输出:**返回 null **解释:**链表中没有环。
提示:
链表中节点的数目范围在范围
[0, 10(4)]内-10(5) <= Node.val <= 10(5)pos的值为-1或者链表中的一个有效索引
**进阶:**你是否可以使用 O(1) 空间解决此题?
题解

设链表中环外部分的长度为 a
slow 指针进入环后,又走了 b 的距离与 fast 相遇,slow走过的总距离为: a+b
fast 指针已经走完了环的 n 圈,因此fast走过的总距离为: a+n(b+c)+b=a+(n+1)b+nc。
fast 指针走过的距离为slow 指针的 2 倍:a+(n+1)b+nc=2(a+b)⟹a=c+(n−1)(b+c)
有了 a=c+(n−1)(b+c) 的等量关系,我们会发现:从相遇点到入环点的距离加上 n−1 圈的环长,恰好等于从链表头部到入环点的距离。
时间复杂度:O(n),其中 n 为链表的长度。
空间复杂度:O(1),仅用到若干额外变量。
【快慢指针两步法】
1. 判环:slow=head、fast=head,slow走1步、fast走2步,循环至fast/faxt->next为空
2. 相遇则有环,未相遇则无环,直接返回null
3. 找入口:相遇后,p从表头出发,slow从相遇点出发,两者都走1步
4. p和slow相遇的节点,就是环的入口节点,直接返回
设:表头到入口距离为 a ,入口到相遇点距离为 b ,环剩余长度为 c ,环总长 b+c
慢指针走的距离: a+b
快指针走的距离: a+b+(b+c)*n (n为快指针绕环圈数,n≥1)
快指针速度是慢指针2倍 → 2(a+b) = a+b+(b+c)*n → 化简得 a = c + (n-1)*(b+c)
结论:表头到入口的距离a = 相遇点绕环到入口的距离c + 环的整数倍 → 因此p和slow同速走必在入口相遇
关键要点(避坑+加分)
1. 初始值:slow和fast都从head出发,而非虚拟头(本题无虚拟头)
2. 循环条件:必须判断 fast != nullptr && fast->next != nullptr ,防止空指针(快指针走2步)
3. 速度比:严格1步/2步,不可改,否则推导公式不成立
4. 找入口速度:p和slow必须同速走1步,而非快慢走
6. 无环判断:循环终止条件直接覆盖所有无环情况,无需额外判断
❌ 错误:fast初始值为head->next → 导致快慢指针步数差混乱,无法正确相遇
❌ 错误:找入口时p/slow不同速 → 永远遇不到入口
❌ 错误:循环条件只判断fast≠null → 会触发fast->next->next的空指针异常
✅ 所有判断/走步严格按模板来,无冗余操作,不会出错
哈希表法(易理解,适合兜底):
1. 遍历链表,将所有节点地址存入 unordered_set
2. 若当前节点已在集合中,该节点即为环入口
3. 遍历结束无重复,说明无环,返回null
问:如何判断链表是否有环(141题)?答:用本题第一步判环,相遇则有环,无需找入口
问:快指针走3步可以吗?答:不可以,速度比非2倍会导致数学推导不成立,可能永远不相遇
问:找到入口后如何求环的长度?答:从入口出发,绕环走1圈回到入口,步数即为环长
/**
* Definition for singly-linked list.
* struct ListNode {
* int val;
* ListNode *next;
* ListNode(int x) : val(x), next(NULL) {}
* };
*/
class Solution {
public:
ListNode *detectCycle(ListNode *head) {
ListNode* slow = head;
ListNode* fast = head;
while (fast && fast->next) {
slow = slow->next;
fast = fast->next->next;
if (slow == fast) {
ListNode* node = head;
while (node != slow) {
slow = slow->next;
node = node->next;
}
return slow;
}
}
return nullptr;
}
};21. 合并两个有序链表
将两个升序链表合并为一个新的 升序 链表并返回。新链表是通过拼接给定的两个链表的所有节点组成的。
示例 1:

**输入:**l1 = [1,2,4], l2 = [1,3,4] 输出:[1,1,2,3,4,4]
示例 2:
**输入:**l1 = [], l2 = [] 输出:[]
示例 3:
**输入:**l1 = [], l2 = [0] 输出:[0]
提示:
两个链表的节点数目范围是
[0, 50]-100 <= Node.val <= 100l1和l2均按 非递减顺序 排列
题解
时间复杂度:O(n+m),其中 n 为 list1 的长度,m 为 list2 的长度。
空间复杂度:O(1)。仅用到若干额外变量。
#include <iostream>
// 定义链表节点结构体
struct ListNode {
int val;
ListNode* next;
ListNode(int x) : val(x), next(nullptr) {}
};
// 合并两个有序链表
ListNode* mergeTwoLists(ListNode* l1, ListNode* l2) {
// 创建一个虚拟头节点,方便处理
ListNode* dummy = new ListNode(0);
ListNode* current = dummy;
// 遍历两个链表,逐一比较节点值
while (l1 != nullptr && l2 != nullptr) {
if (l1->val <= l2->val) {
current->next = l1;
l1 = l1->next;
} else {
current->next = l2;
l2 = l2->next;
}
current = current->next;
}
// 将剩余的节点连接到结果链表上
if (l1 != nullptr) {
current->next = l1;
} else {
current->next = l2;
}
// 获取结果链表的头节点
ListNode* head = dummy->next;
delete dummy; // 释放虚拟头节点的内存
return head;
}
// 打印链表
void printList(ListNode* head) {
while (head != nullptr) {
std::cout << head->val << " -> ";
head = head->next;
}
std::cout << "nullptr" << std::endl;
}
int main() {
// 创建链表1: 1 -> 2 -> 4
ListNode* list1 = new ListNode(1);
list1->next = new ListNode(2);
list1->next->next = new ListNode(4);
// 创建链表2: 1 -> 3 -> 4
ListNode* list2 = new ListNode(1);
list2->next = new ListNode(3);
list2->next->next = new ListNode(4);
// 合并链表
ListNode* mergedList = mergeTwoLists(list1, list2);
// 打印合并后的链表
printList(mergedList);
// 释放链表内存
while (mergedList != nullptr) {
ListNode* temp = mergedList;
mergedList = mergedList->next;
delete temp;
}
return 0;
}递归版本
递归的核心是分治思想:把「合并两个长链表」拆解为「选当前小值节点 + 合并剩余的短链表」,直到触发终止条件(某链表为空),再逐层返回拼接结果,全程无需额外空间建节点,仅靠指针指向完成合并。
1. 终止条件:任一链表为空,直接返回另一链表(空链表和任何链表合并,结果都是另一个链表) 2. 递归递推:选当前值更小的节点,让它的 next 指向「自己的下一个节点 + 另一链表」的合并结果 3. 返回值:当前选中的小值节点(作为当前层合并后的链表头,供上层拼接)
ListNode* mergeTwoLists(ListNode* l1, ListNode* l2) {
if(!l1)return l2;if(!l2)return l1;
if(l1->val<l2->val){l1->next=mergeTwoLists(l1->next,l2);return l1;}
else{l2->next=mergeTwoLists(l1,l2->next);return l2;}
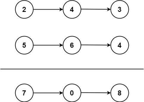
}23. 合并 K 个升序链表
给你一个链表数组,每个链表都已经按升序排列。
请你将所有链表合并到一个升序链表中,返回合并后的链表。
示例 1:
**输入:**lists = [[1,4,5],[1,3,4],[2,6]] 输出:[1,1,2,3,4,4,5,6] **解释:**链表数组如下: [ 1->4->5, 1->3->4, 2->6 ] 将它们合并到一个有序链表中得到。 1->1->2->3->4->4->5->6
示例 2:
**输入:**lists = [] 输出:[]
示例 3:
**输入:**lists = [[]] 输出:[]
提示:
k == lists.length0 <= k <= 10^40 <= lists[i].length <= 500-10^4 <= lists[i][j] <= 10^4lists[i]按 升序 排列lists[i].length的总和不超过10^4
题解
使用一个优先队列(最小堆)来存储链表节点。
自定义比较器
cmp确保优先队列按节点值排序。将每个链表的头节点推入优先队列。
通过循环不断从优先队列中取出最小节点,将其加入结果链表,并将其后续节点(如果存在)推入优先队列。
返回合并后的链表头节点。
/**
* Definition for singly-linked list.
* struct ListNode {
* int val;
* ListNode *next;
* ListNode() : val(0), next(nullptr) {}
* ListNode(int x) : val(x), next(nullptr) {}
* ListNode(int x, ListNode *next) : val(x), next(next) {}
* };
*/
class Solution {
public:
ListNode* mergeKLists(vector<ListNode*>& lists) {
auto cmp = [](const ListNode* lhs, const ListNode* rhs) {
return lhs->val > rhs->val;
};
priority_queue<ListNode*, vector<ListNode*>, decltype(cmp)> que(cmp);
for (int i = 0; i < lists.size(); ++i) {
if (lists[i]) {
que.push(lists[i]);
}
}
ListNode dummy_head;
ListNode* pre = &dummy_head;
// 队列使用的直觉
while (!que.empty()) {
ListNode* node = que.top();
que.pop();
pre->next = node;
pre = pre->next;
if (node->next) {
que.push(node->next);
}
}
return dummy_head.next;
}
};138. 随机链表的复制
给你一个长度为 n 的链表,每个节点包含一个额外增加的随机指针 random ,该指针可以指向链表中的任何节点或空节点。
构造这个链表的 深拷贝。 深拷贝应该正好由 n 个 全新 节点组成,其中每个新节点的值都设为其对应的原节点的值。新节点的 next 指针和 random 指针也都应指向复制链表中的新节点,并使原链表和复制链表中的这些指针能够表示相同的链表状态。**复制链表中的指针都不应指向原链表中的节点 **。
题解
第一遍遍历链表,创建新节点并使用哈希表存储原节点与新节点之间的映射关系。
第二遍遍历链表,利用哈希表中的映射关系更新每个新节点的
next和random指
/*
// Definition for a Node.
class Node {
public:
int val;
Node* next;
Node* random;
Node(int _val) {
val = _val;
next = NULL;
random = NULL;
}
};
*/
class Solution {
public:
Node* copyRandomList(Node* head) {
if (head == NULL) {
return NULL;
}
Node* cur = head;
unordered_map<Node*, Node*> dic;
while (cur) {
dic[cur] = new Node(cur->val);
cur = cur->next;
}
cur = head;
Node* new_head = dic[cur];
while (cur) {
dic[cur]->next = dic[cur->next];
dic[cur]->random = dic[cur->random];
cur = cur->next;
}
return new_head;
}
};234. 回文链表
给你一个单链表的头节点 head ,请你判断该链表是否为
回文链表。如果是,返回 true ;否则,返回 false 。
示例 1:

**输入:**head = [1,2,2,1] **输出:**true
示例 2:

**输入:**head = [1,2] **输出:**false
提示:
链表中节点数目在范围
[1, 10(5)]内0 <= Node.val <= 9
**进阶:**你能否用 O(n) 时间复杂度和 O(1) 空间复杂度解决此题?
题解
/**
* Definition for singly-linked list.
* struct ListNode {
* int val;
* ListNode *next;
* ListNode() : val(0), next(nullptr) {}
* ListNode(int x) : val(x), next(nullptr) {}
* ListNode(int x, ListNode *next) : val(x), next(next) {}
* };
*/
class Solution {
public:
bool isPalindrome(ListNode* head) {
// 找到前半部分链表的尾节点
ListNode* slow = head, *fast = head;
while (fast) {
slow = slow->next;
if (fast->next) {
fast = fast->next->next;
} else {
fast = fast->next;
}
}
// 反转后半部分链表
// 1 2 3 4 5
// s
// f
// 1 2 3 4
// s
// f
ListNode* r = reverseList(slow);
ListNode* start = head;
ListNode* tr = r;
// 判断是否回文
bool ret = true;
while (r != nullptr) {
if (r->val != start->val) {
ret = false;
}
r = r->next;
start = start->next;
}
// 恢复链表
reverseList(tr);
// 返回结果
return ret;
}
ListNode* reverseList(ListNode* head) {
ListNode* pre = nullptr;
ListNode* cur = head;
while (cur) {
ListNode* tmp = cur->next;
cur->next = pre;
pre = cur;
cur = tmp;
}
return pre;
}
};2. 两数相加
给你两个 非空 的链表,表示两个非负的整数。它们每位数字都是按照 逆序 的方式存储的,并且每个节点只能存储 一位 数字。
请你将两个数相加,并以相同形式返回一个表示和的链表。
你可以假设除了数字 0 之外,这两个数都不会以 0 开头。
示例 1:

**输入:**l1 = [2,4,3], l2 = [5,6,4] 输出:[7,0,8] **解释:**342 + 465 = 807.
示例 2:
**输入:**l1 = [0], l2 = [0] 输出:[0]
示例 3:
**输入:**l1 = [9,9,9,9,9,9,9], l2 = [9,9,9,9] 输出:[8,9,9,9,0,0,0,1]
提示:
每个链表中的节点数在范围
[1, 100]内0 <= Node.val <= 9题目数据保证列表表示的数字不含前导零
题解
/**
* Definition for singly-linked list.
* struct ListNode {
* int val;
* ListNode *next;
* ListNode() : val(0), next(nullptr) {}
* ListNode(int x) : val(x), next(nullptr) {}
* ListNode(int x, ListNode *next) : val(x), next(next) {}
* };
*/
/*
同时遍历两个链表,逐位计算它们的和,并与当前位置的进位值相加
p1: 跟踪l1
p2: 跟踪l2
head: 返回结果
tail: 尾插法建表
carry: 进位数
*/
class Solution {
public:
ListNode* addTwoNumbers(ListNode* l1, ListNode* l2) {
ListNode* p1 = l1;
ListNode* p2 = l2;
ListNode* head = nullptr;
ListNode* tail = nullptr;
int carry = 0;
int n1;
int n2;
while (p1 || p2) {
n1 = p1 ? p1->val : 0;
n2 = p2 ? p2->val : 0;
int sum = n1 + n2 + carry;
carry = sum / 10;
if (!head) {
head = tail = new ListNode(sum % 10);
} else {
tail->next = new ListNode(sum % 10);
tail = tail->next;
}
if (p1) {
p1 = p1->next;
}
if (p2) {
p2 = p2->next;
}
}
if (carry != 0) {
tail->next = new ListNode(carry);
tail = tail->next;
}
return head;
}
};148. 排序链表
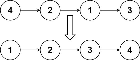
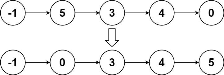
给你链表的头结点 head ,请将其按 升序 排列并返回 排序后的链表 。
示例 1:

**输入:**head = [4,2,1,3] 输出:[1,2,3,4]
示例 2:

**输入:**head = [-1,5,3,4,0] 输出:[-1,0,3,4,5]
示例 3:
**输入:**head = [] 输出:[]
提示:
链表中节点的数目在范围
[0, 5 * 10(4)]内-10(5) <= Node.val <= 10(5)
**进阶:**你可以在 O(n log n) 时间复杂度和常数级空间复杂度下,对链表进行排序吗?